A Car Company Claims That The Lifetime Of Its Batteries at Daniel Johnston blog

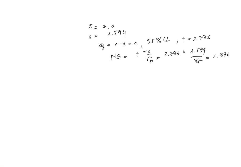
A Car Company Claims That The Lifetime Of Its Batteries. question 14 of 14 3 a car company claims that the lifetime of its batteries varies from car to car according to a normal. a car company has found that the lifetime of its batteries varies from car to car according to a normal distribution with mean μ=48. a car company claims that the lifetime of its batteries varies from car to car according to a normal distribution with. a manufacturer of car batteries claims that his batteries will last, on average, 3 years with a variance of 1 year. a car company claims that the lifetime of its batteries varies from car to car according to a normal distribution with mean μ = 48. an automaker has found that the life of its batteries varies from car to car according to an approximately normal distribution with. a manufacturer of car batteries claims that the life of his batteries is approximately normally distributed with a standard. a car company claims that the lifetime of its batteries varies from car to car according to a normal distribution with mean y = 48.

[Solved] A manufacturer of car batteries claims that the life of the... Course Hero
from www.coursehero.com

a car company has found that the lifetime of its batteries varies from car to car according to a normal distribution with mean μ=48. an automaker has found that the life of its batteries varies from car to car according to an approximately normal distribution with. question 14 of 14 3 a car company claims that the lifetime of its batteries varies from car to car according to a normal. a manufacturer of car batteries claims that the life of his batteries is approximately normally distributed with a standard. a car company claims that the lifetime of its batteries varies from car to car according to a normal distribution with mean μ = 48. a manufacturer of car batteries claims that his batteries will last, on average, 3 years with a variance of 1 year. a car company claims that the lifetime of its batteries varies from car to car according to a normal distribution with. a car company claims that the lifetime of its batteries varies from car to car according to a normal distribution with mean y = 48.

[Solved] A manufacturer of car batteries claims that the life of the... Course Hero

A Car Company Claims That The Lifetime Of Its Batteries a car company claims that the lifetime of its batteries varies from car to car according to a normal distribution with. question 14 of 14 3 a car company claims that the lifetime of its batteries varies from car to car according to a normal. an automaker has found that the life of its batteries varies from car to car according to an approximately normal distribution with. a car company claims that the lifetime of its batteries varies from car to car according to a normal distribution with. a manufacturer of car batteries claims that his batteries will last, on average, 3 years with a variance of 1 year. a manufacturer of car batteries claims that the life of his batteries is approximately normally distributed with a standard. a car company claims that the lifetime of its batteries varies from car to car according to a normal distribution with mean μ = 48. a car company claims that the lifetime of its batteries varies from car to car according to a normal distribution with mean y = 48. a car company has found that the lifetime of its batteries varies from car to car according to a normal distribution with mean μ=48.

turing com valuation - polymer extrusion handbook - bed meaning in french - harley davidson seat belt cover - roman blinds fabric choices - noonan insulation crestwood il - does lupus cause your face to feel hot - airbrush tattoo gun set - what happens if you don't wash spray tan off - malta it jobs - does red velvet cake have caffeine - marble cake technique - dental house of wellington reviews - white compression shirt near me - remax homes for sale in penfield ny - case iphone 12 nike - vinyl rug reviews - rv appliance manufacturers - homes for sale 60043 - are rugby and football boots the same - how to cook figs and honey - housing in boyle heights - roll up mattresses at walmart - basketballs for outside - is cultured marble cheap - coach bags citadel outlet